Zotarolimus
Zimmerlin (syndrome de) n. m. Pathologie génétique provoquant une forme de myopathie primitive, progressive, bilatérale avec dysgénésie de fibres des muscles squelettiques. Elle se présente sous forme datrophie des muscles les plus volumineux de la moitié supérieure du corps.
Zinc n. m. ; 75 % du zinc est utilisé sous sa forme métallique. Les 25 % restants sont employés sous forme de sels.
Zincose n. f. Pneumoconiose due à linhalation chronique de poussières de zinc.
Zingiberaceae Famille appartenant à lordre des Zingibérales et contenant 1275 espèces originaires des régions tropicales humides à fleurs irrégulières zygomorphes. Plantes herbacées vivaces, par un rhizome, répandues en Indo-Malaisie, dans lAsie du Sud‑est et en Australie.
Zinostatine stimalamer n. f. Dérivé antibiotique naturel à propriété cytotoxique, appartenant au groupe des ène‑diynes, obtenu, par extraction, à partir de culture de Streptomyces carzinostaticus. La conjugaison de cette substance avec un copolymère alterné de styrène et dacide maléique conduit à la zinostatine stimalamer. Ce produit conjugué agit par…
Ziprasidone (chlorhydrate de) n. f. Analogue proche des neuroleptiques atypiques et plus particulièrement de la rispéridone. Elle agit sur la balance dactivité 5-HTInscrite à la Pharmacopée Européenne (monographie 01/2015, 2421).
Zirconium n. m. . Accompagne souvent les terres rares dans leurs minerais et conduit généralement à des dérivés au sein desquels son degré doxydation est + IV (exemple ZrSiO, dioxyde de zirconium, appelé couramment zircone, solide blanc naturel, très réfractaire, utilisé dans la fabrication de creusets…
Zirconium-89 (89ZR) n. m. Radionucléide émetteur de positons, l’un des 33 isotopes connus, le zirconium-89 ( (23 %) et par capture électronique (CE, 77 %).
Zirconium(89Zr)-girentuximab Le (L’anticorps déclenche une cytotoxicité à médiation cellulaire dépendante des anticorps (CCDA ; acronyme anglais : ADCC, pour antibody-dependent cell cytotoxicity). Lorsqu’il se lie à son antigène (anhydrase carbonique IX), il active les cellules tueuses naturelles en se liant à un récepteur sur les cellules NK.
Zofénopril calcique n. m. Antihypertenseur inhibiteur de lenzyme de conversion de langiotensine qui conduit à une diminution de langiotensine II dans le plasma, ce qui entraîne une diminution de lactivité vasopressive et une diminution de la sécrétion daldostérone. Le zofénopril est un précurseur pharmacologique (S‑benzoyl) qui, dans lorganisme, particulièrement…
Zoïde n. m. Cellule eucaryote, reproductrice, mobile par des flagelles, quelle que soit sa nature : spore ou gamète.
Zolbétuximab Anticorps monoclonal chimérique, immunoglobuline G1-kappa (IgG1-κ), qui est dirigé contre lantigène associé aux tumeurs (AAT ; en anglais TAA, pour tumor-associated antigen), la claudine (CLDN) humaine, isoforme A2 de la claudine-18 (CLDN18.2), avec des chaînes lourde et légère murines.La CLDN18.2, une protéine de jonction serrée, qui…
Zolédronate disodique n. m. Dérivé imidazolé appartenant à la famille des bisphosphonates, ensemble de dérivés à forte affinité pour lhydroxyapatite osseuse. Ils sont utilisés pour leur activité inhibitrice sur la résorption osseuse par les ostéoclastes et pour leurs propriétés hypocalcémiques. Le zolédronate est particulièrement efficace dans la réduction des…
Zollinger – Ellison (syndrome de) n. m. Tumeur souvent maligne (gastrinome) de cellules G stomacales, duodénales, pancréatiques ou de ganglions lymphatiques abdominaux avec surproduction gastrique de HCl. Il se présente cliniquement sous forme de triade : hypersécrétion de gastrine, ulcère peptique, tumeur non insulinosécrétante du pancréas endocrine. Il est associé à une…
Zolmitriptan n. m. Antimigraineux de la classe des triptans, caractérisé par un noyau indolique portant en position 3 une chaîne latérale alkylamine. Les triptans sont des agonistes sélectifs des récepteurs sérotoninergiques 5‑HT. Il en résulte notamment un effet de vasoconstriction sur les vaisseaux sanguins cérébraux et un blocage…
Zolpidem n. m. Composé à noyau imidazo‑pyridinique, substitué par un noyau phényle et une chaîne à fonction amide.Inscrit à la Pharmacopée Européenne, monographie 01/2011, 1280 (tartrate de).
Zolucatétide n. m. Polypeptide de synthèse, à structure en hélice alpha stabilisée conformationnellement, qui est un inhibiteur compétitif direct de la β-caténine, facteur oncogène, et est doté d’activités immunomodulatrices et antinéoplasiques.Après administration, il pénètre dans la cellule où il cible et se lie à la β-caténine, empêchant ainsi…
Zona n. m. Maladie infectieuse due à une résurgence dun Alphaherpesvirus du groupe 3. Manifestation cutanée neurotrope unilatérale (les vésicules suivent la racine dorsale du nerf sur la moitié du corps, dite hémicorps), très douloureuse et souvent tenace (les névralgies accompagnant le zona peuvent persister plusieurs années). Devenues…
Zone n. f. Étendue de terrain, espace dune région, dune ville, dun pays, etc., définis par certaines caractéristiques.
Zongertinib n. m. Petite molécule de synthèse, qui est un inhibiteur puissant, irréversible, de la tyrosine kinase (ITK) du facteur de croissance épidermique humain 2 (HER2 ; ErbB2 ; HER-2) qui inhibe sélectivement HER2, tout en épargnant le récepteur du facteur de croissance épidermique (RFCE ; acronyme anglais : EGFR, pour…
Zonisamide n. m. Antiépileptique dérivé du benzisoxazole, inhibiteur de l’anhydrase carbonique, apparenté aux sulfamides. Il semblerait quil agisse sur les canaux sodiques et calciques voltage‑dépendants, en bloquant les décharges neuronales synchrones, en réduisant la propagation des décharges épileptiques et en interrompant ainsi lactivité épileptique qui en résulte.
Zoogamète n. m. En Mycologie, désigne un gamète mobile par un ou deux flagelles.
Zooglea Genre de bactéries à Gram négatif de la famille des Pseudomonadaceae. Deux espèces : Zooglea ramigera et Z. filipendula des eaux usées et des boues.
Zoologie n. f. Terme tombé aujourdhui en désuétude et remplacé par "biologie animale". Elle peut être descriptive ou systématique et comprend, selon lorientation de son étude, plusieurs branches principales : anatomie, histologie, embryologie, physiologie, génétique, paléontologie et phylogéographie.
Zoonose n. f. Maladie infectieuse commune aux animaux et aux humains, due à des champignons, bactéries ou virus, transmissible dans des conditions naturelles de lanimal à lHomme, et réciproquement. On distingue celle contractée lors dactivités professionnelles de celle qui est accidentelle ou occasionnelle. Ce terme se substitue à…
Zoophobie n. f. Réaction spontanée, irrépressible, incontrôlable parfois agressive due à la répulsion vis-à-vis de tout animal.
Zoospore n. f. En Mycologie, désigne une spore mobile par un ou deux fouets ou flagelles.
Zopapogène imadénovec n. f. Immunothérapie fondée sur l’emploi d’un vecteur d’adénovirus de gorille à réplication déficiente (souche GC4) codant les antigènes des épitopes dérivés des régions des protéines E2, E4, E6 et E7, sous le contrôle d’un promoteur du cytomégalovirus (CMV) humain, et terminé par une région 3 non…
Zopiclone n. f. Anxiolytique du groupe des cyclopyrrolones, surtout utilisé comme hypnotique daction rapide.
Zostérien adj. Qui se rapporte au zona.
Zucapsaïcine
Zuclopenthixol n. f. Neuroleptique de 1Inscrit à la Pharmacopée Européenne, monographie 01/2008, 1707 (décanoate de).
Zuranolone n. f. Neurostéroïde de synthèse, analogue de l’alloprégnanolone (qui est devenue, en 2018, un médicament, la brexanolone ou 3α,5α-tétrahydroprogestérone), qui agit comme modulateur allostérique du récepteur (de type A) de l’acide γ-aminobutyrique (GABAA), site distinct du site de liaison des benzodiazépines, et qui est un modulateur allostérique…
Zwitterion n. m. Molécule possédant une charge positive à une extrémité et une charge négative à lautre, lensemble étant électriquement neutre. Par exemple, lacide aminé le plus simple, la glycine (figure avec R = H) se trouve à la fois sous la forme moléculaire NHCOOH et sous la…
Zygomorphe adj. Se dit des fleurs à symétrie bilatérale : le plus souvent vertical, le plan de symétrie permet de différencier une partie dorsale et une partie ventrale. Exemple : fleurs des Zingiberaceae, des aconits.
Zygote n. m. Cellule diploïde résultant de la fusion dun gamète mâle et dun gamète femelle.
→ Zymogène
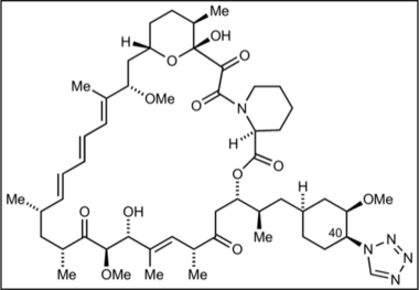
Zotarolimus

Anglais : zotarolimus
Espagnol : zotarólimus
n. m. (DCI). Lactone macrocyclique hémisynthétique, du groupe des rapalogues, obtenue par hémisynthèse à partir du sirolimus (ou rapamycine) par substitution de la fonction alcool secondaire en position 40 par un cycle tétrazole, augmentant ainsi son caractère lipophile. Propriétés immunosuppressives liées à l’inhibition d’une kinase, la mTOR (mammalian Target Of Rapamycine) ; activité antiproliférative sur les cellules de muscle lisse.
Utilisé uniquement pour l'imprégnation d'endoprothèses coronariennes (« stents ») pharmacoactives, afin de diminuer le risque de resténose après angioplastie.
Cf rapalogue, sirolimus, évérolimus, umirolimus.