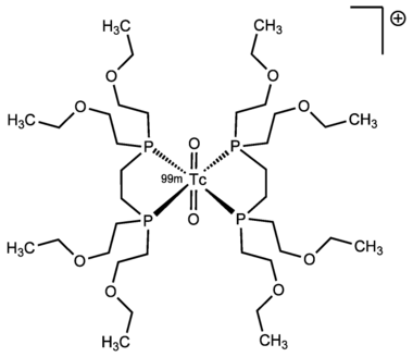
Tétrofosmine
Testostérone n. f. Hormone stéroïde du groupe de landrostane, porteur dune fonction cétone en 3, une liaison éthylénique en 4-5 et une fonction hydroxyle en 17β. Principale hormone mâle sécrétée par les cellules interstitielles des testicules, active in situ après réduction en androstanolone.
Tétanie n. f. Syndrome marqué par des accès intermittents, transitoires ou permanents dhyperexcitabilité neuromusculaire, avec contractures musculaires localisées surtout aux extrémités des membres, généralement dus à une hypocalcémie avec hyperphosphatémie, parfois à une hypokaliémie ou à une alcalose respiratoire.
Tétanique adj. Qui se rapporte à la tétanie.
Tétanos n. m. Maladie toxi-infectieuse de pronostic très sévère, due à latteinte du système neuromusculaire par une neurotoxine, la tétanospermine, sécrétée par le bacille tétanique, Clostridium tetani, Gram positif, anaérobie strict, sporulant, dont les spores sont souvent retrouvées dans la terre et les fèces animales. Germe tellurique ubiquiste…
Tétine n. f. Accessoire de caoutchouc ou de matière plastique souple, de forme spéciale, mimant le mamelon maternel, destiné à être adapté au col dun biberon, pour permettre lalimentation du nouveau-né et du jeune enfant. Le bout de la tétine est percé de trous plus ou moins gros…
Tétrabénazine n. f. Médicament du système nerveux central, la tétrabénazine bloque de façon sélective le transporteur vésiculaire (VMAT2) des monoamines, empêchant ainsi leur accumulation dans les vésicules de stockage présynaptiques. Cette déplétion en monoamines, notamment en dopamine, interviendrait dans la réduction des mouvements anormaux hyperkinétiques. Assimilée aux neuroleptiques.
Tétracaïne (chlorhydrate de) n. f. Anesthésique local, par blocage des canaux sodiques neuronaux ; dérivé de la procaïne dont le groupe aminé primaire NHInscrit à la Pharmacopée Européenne (monographie 04/2008, 0057).
Tétracémique (acide) n. m.
Tétracosactide n. m. Polypeptide de synthèse dont la structure est identique à celle de la séquence des 24 premiers acides aminés de la corticotropine humaine. Stimule la sécrétion des hormones corticosurrénaliennes. Le tétracosactide est utilisé, notamment comme anti-inflammatoire, anti-œdémateux et antalgique.Inscrit à la Pharmacopée Européenne (monographie 04/2010,…
Tétracycline n. f. Antibiotique antibactérien de la classe des cyclines élaboré par fermentation de certaines souches de Streptomyces aureofaciens.Inscrite sur la liste des Médicaments essentiels de lOMS et à la Pharmacopée Européenne, monographies 01/2017, 0211 et 08/2019, 0210 corrigé 10.0 (chlorhydrate de).
Tétracyclique adj. Formé de quatre cycles.
Tétradécylsulfate sodique n. m. Sel à réaction alcaline dun ester sulfurique à longue chaîne ramifiée. Il était, encore récemment, utilisé en France, comme agent sclérosant, en particulier de varices.
Tétraédrique adj. Qualifie une structure pouvant être circonscrite dans un tétraèdre de type pyramide. Par exemple, les 4 entités reliées à un carbone sp3 central sont placées aux 4 sommets d’un tétraèdre régulier, déterminant une géométrie tétraédrique (exemple : le méthane, CH4).
Tétragonal adj. Qualifie un élément relié à 4 entités par des liaisons simples. Exemple : le carbone du méthane, CH.
Tétrahydrocannabinol n. m. Cannabinoïde (phytocannabinoïde) benzotétrahydropyranique de nature terpénophénolique présent dans les feuilles et les bractées des variétés à résine du chanvre (Cannabis sativa L., Cannabaceae) dont il est le principal constituant psychoactif ; isomérisation possible en ΔSelon des études récentes sur l’animal (Souris), le THC, en administration…
Tétrahydronaphtalène n. m. Hydrocarbure à deux noyaux hexagonaux accolés, dont lun est aromatique. Le squelette du tétrahydronaphtalène est présent dans de nombreuses substances utilisées en thérapeutique (exemples : stéroïdes œstrogènes du groupe de lestrane, nadolol, β‑bloqueur).
Tétraline n. f.
Tétramère n. m. Fait de quatre parties, de quatre divisions.
Tétraméthylammonium (iodure de) n. m. Iodure d’ammonium quaternaire dans lequel l’azote chargé positivement est relié à 4 groupes méthyle.
Tétramisole n. m. Dérivé de limidazothiazole, anthelminthique, actif sur les nématodes, trichures et spongyloïdes.
Tétrapyrrolique adj. Qualifie une entité contenant 4 noyaux pyrrole dans sa structure.
Tétraterpène n. m. Terme désignant un groupe de substances naturelles terpéniques en C comportant habituellement plusieurs liaisons éthyléniques conjuguées, représenté surtout par les caroténoïdes ; coloration jaune ou orangée. Molécules linéaires (par exemple lycopène des tomates) ou comportant un ou deux cyclohexènes aux extrémités : carotènes proprement dits…
Tétrazépam n. m. Benzodiazépine chlorée, de type 1,4. Le tétrazépam était utilisé comme myorelaxant et décontracturant, ayant des actions sédative, anxiolytique et anticonvulsivante.Inscrit à la Pharmacopée Européenne (monographie 01/2008, 1738).
Tétrazole n. m. Composé aromatique à cycle pentagonal avec quatre azotes, un carbone et un hydrogène sur lun des azotes, très mobile, doù un caractère acide marqué, comparable à celui dun acide carboxylique. Il en résulte que, pharmacologiquement, un composé à noyau tétrazole a souvent une action comparable…
Tétrodotoxine n. f. Substance naturelle extraite des gonades et du foie de poissons de la famille des Tetraodontidae (dans laquelle on trouve les « poissons globe ») et connue sous le nom de « toxine du fugu ». Elle est constituée de cinq cycles imbriqués, dont trois oxygénés…
Tétryzoline (chlorhydrate de) n. f. Agent sympathomimétique avec des effets similaires à ceux de la naphazoline.Inscrite à la Pharmacopée Européenne (monographie 01/20082, 101).
Teucrium Genre de la famille des Lamiaceae ex-Labiées ; herbacées ou sous-arbrisseaux vivaces connus sous le nom de germandrées, espèces cosmopolites, nombreuses dans le bassin méditerranéen. Présence d’huiles essentielles de composition variable et, dans certaines germandrées, de diterpènes lactoniques comportant un cycle furanique, responsables d’une hépatotoxicité importante…
Tézacaftor n. m. Molécule de synthèse dite «correcteur» visant à augmenter la quantité de protéine CFTR présente au pôle apical des cellules épithéliales. Elle empêche l’élimination des protéines CFTR défectueuses dans la cellule, corrige leur repliement et aide à leur transport intracellulaire jusqu’au pôle apical pour rétablir les…
Tézépélumab n. m. est un marqueur de l’inflammation [1] de type 2 dans l’asthme.
Thalamus n. m. Volumineuse structure paire, diencéphalique, formant les parois latérales du 3 ventricule. Le thalamus est subdivisé en de nombreux noyaux caractérisés par leur localisation et leur relation anatomique avec les voies sensorielles, sauf lolfaction, et avec différentes autres structures, par exemple ganglions de la base et…
Thalassémie n. f. Groupe dhémoglobinopathies héréditaires par mutation dun ou plusieurs des gènes de structure codant la chaîne α ou β de la globine ou des séquences qui en contrôlent leur expression, de transmission autosomique récessive. Souvent marquées par une anémie microcytaire, hypochrome, hypersidérémique, elles sont différenciées en…
Thalassothérapie n. f. Utilisation, sous surveillance médicale, dans un but préventif ou curatif, des bienfaits du milieu marin : climat, eau de mer, boues et algues marines etc.
Thalidomide n. m. Dérivé synthétique, imide de lacide glutarique substitué sur lun des carbones voisins dun groupe CO par un azote appartenant au phtalimide. Proposé, à lorigine (1950-1960), comme sédatif et antinauséeux, notamment, chez les femmes enceintes, il était considéré comme peu toxique dans de nombreux pays, ce…
Thalle n. m. Corps dun végétal dans lequel laxe principal est absent ou, lorsquil est présent, ne présente pas une différenciation en tronc et feuilles. Cest le cas des végétaux qui sont munis de structures foliacées, filamenteuses, cordiformes.
Thallium n. m. . La toxicité du thallium et de ses dérivés pour lHomme est élevée, quelle soit aiguë (vomissements, diarrhées, convulsions, mort possible) ou chronique (faiblesse, polynévrite, chute des cheveux). Cette dernière propriété explique son utilisation passée pour lutter contre les teignes.
Thallophyte n. m. Appareil végétatif de plantes composées de cellules plus ou moins unies, sans différenciation, en tige, racine et feuilles. Exemple : Algues.
Thapsigargine n. f. Lactone sesquiterpénique fortement oxygénée (fonctions alcool et surtout ester dont la nature et la configuration interviennent dans l’activité pharmacologique), extraite d’une résine vésicante contenue dans plusieurs organes, en particulier la racine d’une plante toxique méditerranéenne (Afrique du Nord…), Thapsia garganica L. (Apiaceae ex-Ombellifères). Très puissant…
Thaumatine n. f. Nom désignant un mélange de plusieurs protéines de goût sucré, plus spécifiquement le mélange des deux plus abondantes, les thaumatines I et II, de structure proche, constituées de 207 acides aminés. Otention à partir de l’arille charnu entourant les graines d’une plante des forêts tropicales…
THC Cf tétrahydrocannabinol.
Thé n. m. Nom désignant à la fois les feuilles jeunes du théier (Camellia sinensis [L.] O. Kuntze, Theaceae, synonyme C. thea Link ou Thea sinensis L.) et les boissons, parmi les plus consommées dans le monde, qu’elles servent à préparer. Composition chimique complexe et variable selon le…
Theaceae Famille de lordre des Éricales, comprenant 240 espèces tropicales et subtropicales. Parmi les genres qui composent cette famille, le plus connu est le genre Camellia L. dont Camellia sinensis : le théier ; les feuilles de ce dernier, fermentées ou non, servent à la préparation…
Thébaïne n. f. Alcaloïde à squelette morphinane du pavot somnifère ; éther méthylique de lénol‑codéinone. Présente en quantité exploitable dans certains cultivars (mutant Top1 dépourvu de morphine et de codéine) de Papaver somniferum (Papaveraceae), la thébaïne est obtenue par extraction à partir de la paille de ce pavot.
Théier n. m. Arbre dorigine asiatique (Camellia sinensis [L.] O. Kuntze, synonyme C. thea Link ou Thea sinensis L., Theaceae) très largement cultivé dans les régions d’origine (Chine, Inde, Sri Lanka…), mais aussi dans d’autres parties du monde (continent africain, Argentine...) pour la fabrication du thé, nom…
Théine Cf thé et caféine
Théobromine n. f. Base purique dérivée de la xanthine (3,7‑diméthylxanthine) présente dans la graine du cacaoyer (Theobroma cacao L., Malvaceae) ; également dans plusieurs plantes renfermant des bases xanthiques (guarana, maté...). Propriétés voisines de celles de la caféine, notamment action diurétique pour laquelle elle a été indiquée dans…
Théodrénaline n. f. Dérivé de la xanthine obtenu à partir de la théophylline par substitution de lazote en position 7 par une chaîne correspondant à léthylnoradrénaline.
Théophylline n. f. Base purique dérivée de la xanthine (1,3‑diméthylxanthine) présente en faible quantité dans la feuille du théier et la graine du kolatier ; obtenue industriellement par synthèse. Action principalement bronchodilatatrice par relaxation du muscle lisse bronchique (inhibition non sélective des phosphodiestérases, des récepteurs A1 à ladénosine…
Théorie n. f. Connaissance idéale indépendante des applications, ensemble de règles.
Thèque n. f. Enveloppe constituant la paroi du follicule ovarien et composée de deux structures : 1- la thèque externe, fibreuse ; 2- la thèque interne, cellulaire qui sécrète, sous la laction de la LH, des androgènes aromatisés en œstradiol par les cellules de la granulosa des follicules.
Théranostic n. m. Pratique médicale basée sur lutilisation dun test diagnostique permettant dorienter la thérapeutique dun patient. Le test diagnostique, appelé « test compagnon » (d’utilisation du traitement) consiste en lidentification dun biomarqueur dont le statut (présence, absence, surexpression, forme mutée...) sera un témoin dun processus biologique et…
→ Thiamine
Tétrofosmine

n. f. (DCI). Ligand de type diphosphine qui forme, avec le technétium‑99m, des complexes à bonne affinité pour le myocarde.
Usage diagnostique du tétrofosmine 99mTc, pour l'exploration isotopique de l'appareil cardiovasculaire (scintigraphie myocardique) et pour la mammoscintigraphie.