Pentoxyvérine (citrate de)
Pemphigoïde n. m. Nom dun groupe de maladies bulleuses du derme et de lépiderme, détiologie auto-immune à facteur déclenchant inconnu. Sont à distinguer : 1- les pemphigoïdes bulleux, les plus fréquents, dont les lésions bulleuses affectent le plus souvent la peau des bras, des jambes ou du tronc…
Pemphigus vrai n. m. Groupe de dermatoses auto-immunes, intraépidermiques, bulleuses, extensives, chroniques, rares, caractérisées par des auto-anticorps dirigés contre les protéines transmembranaires qui constituent les desmosomes. On distingue : 1- le pemphigus vulgaire avec érosions buccales et/ou des autres muqueuses, des bulles flasques en peau saine et une fragilité…
Penciclovir n. m. Antiviral analogue nucléosidique acyclique de synthèse de la 2’-désoxyguanosine avec un groupement 3’OH. Comme l’aciclovir, sa forme active est triphosphorylée avec une première phosphorylation effectuée par la thymidine kinase virale. Les deux phosphorylations suivantes sont réalisées par des thymidine kinases cellulaires. La forme triphosphorylée est…
Pénétrance n. f. Terme utilisé en génétique pour désigner le pourcentage de sujets porteurs dune mutation dominante (hétérozygote) ou récessive (homozygote) exprimant la maladie. Le coefficient de pénétrance correspond à la probabilité de manifestation du gène.
Penfluridol n. m. Dérivé de la diphénylbutylpipéridine, neuroleptique de longue durée daction (7 jours) doué dune action anti-autistique et antidélirante puissante, avec un effet désinhibiteur marqué dans les états dapragmatisme peu sédatif.
Pénicillamine n. f. Acide aminé soufré provenant de la dégradation des pénicillines. Seule, la D-pénicillamine est employée en thérapeutique comme antirhumatismal daction lente, chélateur de métaux lourds (cuivre) et thioréducteur qui rompt les ponts disulfures des macroglobulines et produit la dépolymérisation des facteurs rhumatoïdes (IgM).Inscrite sur la liste…
Pénicilline n. f. Nom générique désignant des antibiotiques antibactériens appartenant à la classe des bêta-lactames (souvent désignés par bêta-lactamines). Structure générale : amides entre le carboxyle d’une chaîne de nature variable et la fonction amine de l’acide 6-aminopénicillanique (bicycle à squelette péname constitué d’un bêta-lactame [= azétidinone] fusionné…
Penné adj. Qualifie une feuille composée dont les folioles sont disposées de chaque côté du pétiole commun, comme les barbes dune plume. Il existe diverses dispositions, exemples : feuille paripennée de larachide sans foliole terminale (nombre pair de folioles) et feuille imparipennée du rosier avec une foliole…
Pennyroyal n. m. Nom d’origine anglaise désignant deux espèces herbacées de Lamiaceae ex-Labiées : d’une part, le pennyroyal européen ou menthe pouliot, Mentha pulegium L., anglais European pennyroyal espagnol mento poleo, spontané dans l’ensemble de l’Europe ; d’autre part, le pennyroyal américain, Hedeoma pulegioides (L.) Pers., anglais American…
Penpulimab n. m. Anticorps monoclonal chimérique, immunoglobuline IgG1κ, dirigée contre la protéine de mort cellulaire programmée de type 1 (PD-1 ; PDCD1 ; CD279), qui est un récepteur cellulaire humain, immunorégulateur négatif, possédant des propriétés inhibitrices, et antinéoplasiques potentielles. Après administration, le penpulimab cible et se lie à un épitope…
Pensée n. f. Nom générique désignant des plantes herbacées appartenant au genre Viola, famille des Violaceae. Les « pensées » sont souvent confondues avec les « violettes » appartenant au même genre Viola ; elles en diffèrent par la disposition des pétales.
Pentacyclique adj. Qui comporte cinq cycles.
Pentaérythritol n. m. Polyol non naturel C-(CH.
Pentagastrine n. f. Pentapeptide de synthèse ayant quatre acides aminés en commun avec la gastrine. Ce stimulant de la sécrétion gastrique est utilisé en exploration fonctionnelle (test à la pentagastrine).
Pentamère adj. Se dit dun organe ou organisme à symétrie radiale dordre cinq.
Pentamidine n. f. Trypanocide actif sur Trypanosoma gambiense et T. rhodesiense, également actif sur les leishmanies et Pneumocystis carinii, dont le mode daction semble dépendre soit de linhibition de la synthèse de lADN, par blocage de la thymidine synthétase, soit de sa fixation sur lARN de transfert.Inscrite sur…
Pentasomie X n. f.
Pentatrichomonas Genre de protozoaire piriforme non spiralé, de la famille des Trichomonadideae. P. hominis, généralement commensal du côlon, est parfois à lorigine de quelques troubles intestinaux sans symptômes spécifiques. Rare en France. Trophozoïtes retrouvés dans les selles. Pas de kystes.
Pentazocine n. f. Dérivé du benzomorphane.Inscrite à la Pharmacopée Européenne, monographie 01/2008, 1462, 1463 (chlorhydrate de) et 2000 (lactate de)
Pente n. f. 1- inclinaison, déclivité 2- inclination.
Pentétique (acide) Agent chélatant, en particulier du fer, du plutonium, du gadolinium et autres composés radioactifs. Cf acide gadopentétique.Inscrit à la Pharmacopée Européenne (monographie 1183100).
Pentétrazol n. m. Autrefois utilisé comme analeptique cardiorespiratoire (cardiazol) dont la commercialisation a été arrêtée en raison des effets convulsivants, probablement dus à ses effets antagonistes du GABA.
Pentobarbital n. m. Composé de type barbiturique utilisé, sous forme de sel sodique et calcique, pour ses propriétés hypnotiques et sédatives, ainsi qu’en prémédication lors de procédures d’anesthésies.Inscrit à la Pharmacopée Européenne (monographie 01/2008, 0200).
Pentosane n. m. Composé chimique formé par lunion de plusieurs pentoses.
Pentose n. m. Ose (monosaccharide) comportant 5 atomes de carbone. Les aldopentoses possèdent une fonction aldéhyde (exemple : ribose), et les cétopentoses une fonction cétone (exemple : ribulose).
Pentostatine n. f. Antibiotique produit par la bactérie Streptomyces antibioticus, analogue dun nucléotide purinique dont le cycle pyrimidine serait remplacé par un cycle [1,3]diazépine, connu sous le nom de 2‑désoxycoformycine, considérée comme un antimétabolite. Par sa liaison à ladénine désaminase, elle inhibe cette enzyme essentielle au métabolisme des…
Pentoxifylline n. f. Dérivé méthylé xanthique, antagoniste des récepteurs de ladénosine de type 2, inhibiteur compétitif non sélectif de la phosphodiestérase PDE4 et par conséquent de la synthèse de TNF et de leucotriènes. La pentoxifylline entraîne une faible diminution du taux de fibrinogène et une augmentation de la…
Pépin n. m. Graine à tégument coriace, assez épais; les graines de baies sont appelées pépins. Exemple : les pépins de raisin.
Péplos n. m. Enveloppe virale dérivée des membranes cellulaires, entourant la nucléocapside, dont la présence ou labsence constitue un critère de classification des virus. Sa nature glucido-lipido-protéique est responsable des caractéristiques physicochimiques des particules virales.
Péponide n. f. Baie à épicarpe fortement cutinisé, parfois de consistance ligneuse. Exemple : fruits de Cucurbitaceae, pastèque, melon.
Pepsine n. f. Enzyme du groupe des endopeptidases hydrolysant les liaisons peptidiques formées avec la fonction amine dun acide aminé aromatique. Résulte de lactivation du pepsinogène dans le milieu acide de lestomac. Son pH optimum dactivité est compris entre 1,8 et 4,4. Est inactivée par le bicarbonate du…
Pepsinogène n. m. Précurseur de la pepsine, synthétisé et stocké dans les cellules principales de lestomac, doù il est libéré lors de larrivée du bol alimentaire, puis hydrolysé sous laction de lacide chlorhydrique sécrété par les cellules pariétales de la muqueuse gastrique.
Pepstatine n. f. Hexapeptide N-acétylé contenant un acide aminé inhabituel, la statine, isolé de culture de différents Actinomycètes. Inhibitrice des protéases acides telles que la pepsine et la rénine.
Pepticorps n. m. Biomolécule synthétique consistant en une protéine de fusion produite par technologie de l’ADN recombinant. Elle est composée d’un fragment cristallisable d’une immunoglobuline de type IgG1 (fragment Fc qui accroît la demi-vie plasmatique de la biomolécule) couplé, à laide dun bras de liaison, à…
Peptidase n. f. Enzyme catalysant lhydrolyse de liaisons peptidiques dun peptide ou dune protéine soit à une extrémité (exopeptidase), soit à lintérieur de la molécule (endopeptidase).
Peptide n. m. Molécule constituée dacides aminés, identiques ou différents, reliés essentiellement de façon linéaire, par des liaisons dites peptidiques résultant de lamidification du groupe carboxyle dun acide aminé par la fonction amine de lacide aminé suivant. Un peptide comportant peu dunités « acide aminé » est appelé…
Peptide insulinotrope dépendant du glucose (PIDG) n. m. Hormone gastro-intestinale, qui est une entérogastrone appartenant à la famille des incrétines [1].Le GIP potentialise la sécrétion d’insuline [2] stimulée par le glucose au niveau du pancréas et participe à la régulation du métabolisme énergétique.
Peptide-1 similaire au glucagon n. m. Hormone de 30 acides aminés sécrétée par les cellules L de l’iléon en réponse à une prise alimentaire. Est rapidement inactivé par la dipeptidyl-peptidase 4 (DDP-4). Fait partie des incrétines, hormones anti-hyperglycémiantes sans effet sur la glycémie normale, donc n’induisant pas d’hypoglycémie.Existe sous forme d’analogues…
Peptidique adj. Qualifie une liaison covalente amide formée par réaction entre le groupe carboxyle dun premier acide aminé et le groupe amine dun second. Ces acides aminés peuvent être identiques ou différents, le produit formé est un peptide.
Peptidoglycane n. m. Polymère de chaînes glycaniques linéaires constituant la paroi des bactéries. La partie polysaccharidique est formée par la répétition dune unité disaccharidique constituée de N-acétyl-glucosamine (NAG, GlcNac) et dacide N-acétyl-muramique (NAM, MurNac), liés par des liaisons β (1→4). De courtes chaînes peptidiques, formées dacides…
Peptidomimétique n. m. Composé synthétisé chimiquement comportant des acides aminés non naturels ou des entités non peptidiques, destiné à mimer lactivité biologique dun peptide et à en améliorer les propriétés pharmacologiques comme, par exemple, accroître sa stabilité métabolique ou restreindre sa mobilité conformationnelle.
Peptisation n. f. Obtention dune dispersion stable de particules colloïdales dans un solvant ou une solution.
Peptococcus Genre de cocci à Gram positif associés par paires, tétrades ou chaînettes, anaérobies stricts. Actuellement une seule espèce, Peptococcus niger, qui fait partie de la flore commensale de lHomme, mais qui, comme organisme opportuniste, peut être à lorigine de diverses infections (exemples : cystite, arthrite…
Peptone n. f. Mélange de peptides qui provient de lhydrolyse chimique ou enzymatique des protéines animales (muscle, cœur, foie...), laitières ou végétales (soja).
Peptoniphilus Genre de cocci à Gram positif, anaérobies stricts, regroupant les espèces non saccharolytiques utilisant les peptones et les acides aminés comme source dénergie. Les deux principales espèces sont P. asaccharolyticus et P. indolicus.
Peptostreptococcus Genre de bactéries de la famille des Streptococcaceae. Cocci à Gram positif de petite taille, anaérobies strictes, saprophytes des muqueuses. Comprend actuellement une seule espèce, P. anaerobius, qui, associé à dautres germes, peut devenir responsable dinfections sévères (exemples : gangrène, cellulite nécrosante).
Peracide n. m. Acide organique de formule générale R-COH.
Péramivir n. m. Antiviral de la famille des inhibiteurs de neuraminidase utilisés dans le traitement de linfection grippale. La neuraminidase virale, en permettant au virus de se propager à travers le mucus, facilite la libération des particules virales nouvellement formées à partir de cellules épithéliales infectées des voies…
Pérampanel n. m. Anticonvulsivant, premier antagoniste des récepteurs inotropes activés par le glutamate, les récepteurs AMPA [α-amino-(3-hydroxy-5-méthylisoxazol-4-yl)propionate] ; autorisé comme antiépileptique. Il prévient louverture des canaux ioniques et ralentit la propagation des potentiels daction.
Percolation n. f. Action, pour un fluide (liquide le plus souvent, gaz), de traverser lentement un milieu où existe des vides.
Péremption n. f. Annulation dune instance faute davoir été poursuivie avant expiration dun délai fixé. Par extension, expiration dun délai de validité.
Pérennant adj. Qualifie une plante qui, habituellement annuelle ou bisannuelle, peut, dans certaines conditions, devenir vivace.
Pérésolimab n. m. Anticorps monoclonal humanisé, immunoglobuline G1-κ, qui reconnaît la protéine 1 de mort cellulaire programmée (PD-1, PD1 ou PDCD1), produit dans des cellules ovariennes de hamster chinois (CHO), lignée cellulaire CHO-K1SV, glycoforme alfa.Voir : Anticorps ; Immunoglobuline ; Lymphocyte T ; Arthrite.
Perfluorhexyloctane n. m. Alcane semifluoré (6 atomes de carbone perfluorés et 8 atomes de carbone hydrogénés), qui est un liquide pratiquement non hydrosoluble.Voir : Alcane ; Interface ; Ophtalmique ; Topique ; Symptôme ; Sécheresse oculaire.
Perforine n. f. Protéine présente sous forme inactive dans les granules des lymphocytes NK et CD8. Activée par le calcium intracellulaire, elle est sécrétée au contact dune cellule cible (cellule tumorale ou cellule infectée) et forme, en se polymérisant, des pores dans la membrane de la cellule entraînant…
→ Perméabilité
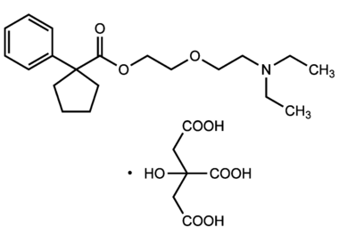
Pentoxyvérine (citrate de)

Synonyme(s) : carbétapentane
n. f. (DCI). Antitussif non opiacé, d'action centrale ayant des propriétés antispasmodiques, dépourvu d'effet dépresseur sur les centres respiratoires aux doses thérapeutiques.
Des effets indésirables atropiniques et des troubles cardiaques ont été rapportés.
Inscrite à la Pharmacopée Européenne (monographie 01/2008, 1621).