Atractyloside dipotassique
Atavisme n. m. Réapparition chez un descendant d’un caractère quelconque des ascendants, caractère demeuré latent pendant une ou plusieurs générations intermédiaires.
Ataxie n. f. Pathologie neuromusculaire marquée par l’incapacité de réaliser des mouvements volontaires coordonnés, d’origine cérébelleuse ou par suite de lésions des voies spinales sensorielles et motrices.
Atazanavir (sulfate d') n. m. Inhibiteur de la protéase du virus de type 1 de limmunodéficience humaine (VIH-1), enzyme essentielle pour la maturation des polyprotéines Gag et Gag-Pol en protéines de structure et protéines enzymatiques nécessaires pour la réplication virale. Il sagit dun aza-pseudopeptide construit autour du motif hydroxyéthylamine et…
ATCC (American type culture collection) Société privée américaine, sans but lucratif, dont la mission se concentre sur lacquisition, lauthentification, la production, la conservation, le développement et la distribution de micro-organismes, de lignées cellulaires et autres matériaux pour la recherche dans les sciences de la vie. L’ATCC apporte son soutien aux…
Atélectasie n. f. Affaissement des alvéoles pulmonaires normalement vascularisées qui se collabent et ne reçoivent plus l’air inspiré. Elle est la conséquence d’une obstruction bronchique (corps étranger, mucus, tumeur). Elle est physiologique chez le fœtus.
Aténolol n. m. Bêta-bloquant du groupe des aryloxypropanolamines.Inscrit à la Pharmacopée Européenne (monographie 04/2009, 0703).
Atézolizumab n. m. Anticorps monoclonal humain (isotype IgG1) dirigé contre la protéine PD-L1, ligand du récepteur PD-1 (Programmed death-1). Linteraction de la protéine PD-L1, surexprimée dans certaines cellules tumorales, avec la protéine PD-1 présente à la surface de lymphocytes T, bloque lactivation de ces derniers et, par suite, réduit…
Athermane adj. Qualifie une paroi imperméable à la chaleur.
Athérome n. m. Plaque rigide et jaunâtre, localisée à l’interface de lintima et de la média de la paroi dune artère. Elle est formée par le dépôt, cumulatif dans le temps, dune "bouillie" lipido-glucido-protidique avec ou sans calcification.
Athétose n. f. Ensemble de contorsions involontaires et incoordonnées particulièrement marquées au niveau des mains et de la face.
Athrepsie n. f. État de déchéance profonde de l’organisme, marquant la phase ultime de la dénutrition chez les enfants âgés de moins de quatre mois privés d’alimentation au sein.
Atidarsagène autotemcel n. m. Produit de thérapie génique, préparé à partir d’une population de cellules souches hématopoïétiques CD34+ autologues hétérogène (exprimant les marqueurs CD90 et/ou CD133) obtenues à partir de moelle osseuse ou de sang périphérique après mobilisation, transduites ex vivo pour coder l’arylsulfatase A humaine (ARSA). Ces cellules…
Atiprimod n. m. Composé de type azaspirane, amphiphile, cationique, inhibiteur de la phosphorylation du facteur de transcription STAT3 (Signal transducer and activator of transcription 3). Il bloque les voies de signalisation sous contrôle de l’interleukine-6 et la sécrétion des facteurs de croissance endothéliale vasculaire (VEGF, Vascular…
Atmosphère n. f. 1- Couche de fluide gazeux qui enveloppe un corps céleste, en particulier la Terre ; 2- par extension, air dun local qui peut être modifié, conditionné, raréfié (Exemple atmosphère humidifiée, stérile) ; 3- unité non légale de pression égale exactement à 101 325 Pa.
Atogépant n. m. Petite molécule de synthèse, qui est un antagoniste du récepteur du neuropeptide relié au gène calcitonine ou PRGC (CGRP,calcitonin-related peptide), l’un des médiateurs de la douleur.Le PRGC est synthétisé sous 2 formes (-α et -β) par les cellules du système nerveux central et périphérique. Le CGRP-α…
Atoltivimab n. m. Anticorps monoclonal humain, de type IgG1κ, obtenu par la technique de l’ADN recombinant, qui est exprimé dans des cellules ovariennes de hamster chinois. Il est présent dans un cocktail de 3 anticorps monoclonaux (atoltivimab, maftivimab et odésivimab) qui cible la glycoprotéine denveloppe (GP) de l’Ebolavirus. Cette glycoprotéine…
Atome n. m. Plus petite partie d’un corps simple susceptible de se combiner. Constitué d’un noyau représentant plus de 99,9 % de sa masse et d’un un nuage électronique 40 000 fois plus étendu que le noyau. Le noyau est constitué de protons, chargés positivement et de neutrons, électriquement…
Atomisation n. f. Processus par lequel un métal et un non-métal à caractère métallique sont transformés en atomes. Processus essentiel dans les méthodes d’analyse du ressort des spectrométries d’absorption atomique ou démission atomique, de fluorescence atomique et de spectrométrie de masse à plasma à couplage inductif. L’atomisation est…
Atomiseur n. m. Partie des appareillages utilisés dans les différentes méthodes de la spectroscopie atomique qui requièrent toutes le passage de l’élément le plus souvent métallique à doser à l’état de vapeur atomique. Plus précisément fait partie du groupe d’appareillage nébuliseur-atomiseur. La fonction du nébuliseur est de…
Atomoxétine (chlorhydrate d') n. f. Inhibiteur de la recapture de la noradrénaline sans capacité de liaison au récepteur de cette monoamine. Cette action est accompagnée dun effet plus limité sur la recapture de la sérotonine, de la dopamine ainsi que sur les récepteurs de lacétylcholine, de la dopamine, de lhistamine…
Atopie n. f. Prédisposition génétique héréditaire à présenter des réactions dhypersensibilité immédiate (exemple asthme, rhume des foins) à des allergènes communs de lenvironnement et qui ne provoquent aucune réaction chez les sujets non atopiques. Elle se traduit par une production spontanée d’immunoglobulines de type E (IgE).
Atopique adj. Qui se rapporte à l’allergie (exemple, eczéma ou dermatite atopique). Se dit dune personne chez laquelle surviennent, en apparence spontanément, certaines manifestations allergiques locales morbides.
Atopobium Genre rassemblant des bactéries à Gram positif, de forme coccoïde ou bacillaire, anaérobies strictes, produisant principalement de lacide lactique lors de la fermentation des sucres. Bactéries présentes dans la flore gingivale et vaginale et pouvant être responsables d’abcès dentaires, d’abcès pelvien et de suppurations abdominales.…
Atorvastatine n. f. Statine à noyau pyrrole, inhibitrice de la HMG-CoA réductase, enzyme qui catalyse la formation des stérols dont le cholestérol.Inscrite à la Pharmacopée Européenne, monographie 04/2011, 2191 (atorvastatine calcique trihydratée).
Atosiban (acétate d') n. m. Peptide de synthèse, antagoniste compétitif de locytocine au niveau de ses récepteurs. Réduit les contractions utérines. Latosiban se lie aussi aux récepteurs de la vasopressine en inhibant ses effets.
Atovaquone n. f. Phénol dérivé de la naphtoquinone, substitué en 2 par un reste p-chlorophénylcyclohexyle. Inhibiteur spécifique du transport d’électrons de la chaîne respiratoire mitochondriale de certains protozoaires. Actif per os, apparenté à l’ubiquinone.Inscrite à la Pharmacopée Européenne (monographie 07/2013, 2192).
Atractylis n. m.
atracurium (dibésilate de) n. m. Bis-sel d’ammonium quaternaire de synthèse à squelette bis-papavérinique répondant à la formule générale des curarisants non dépolarisants.Inscrit sur la liste des médicaments essentiels de lOMS.
Atrasentan n. m. Petite molécule de synthèse, qui est un antagoniste puissant des récepteurs de l’endothéline A (ETLa néphropathie à immunoglobulines A (IgA) correspond à un dépôt de complexes immuns d’IgA dans les glomérules et se manifeste par une hématurie évoluant lentement, une protéinurie et, souvent, une insuffisance…
Atrésie n. f. Absence congénitale ou occlusion complète ou développement incomplet ou rétrécissement dun orifice ou dun conduit naturel (exemples : atrésie aortique, atrésie mitrale, atrésie œsophagienne).
Atrophie n. f. Terme générique désignant une diminution plus ou moins importante du volume ou de la taille dun membre, dun organe, dun tissu ou d’une cellule. Les étiologies de latrophie peuvent être diverses : dénutrition, mauvaise vascularisation ou innervation, sénescence, infection, maladie de système, d’organe (reins) ou…
Atropine n. f. Alcaloïde présent dans diverses Solanaceae, dites « mydriatiques », des genres Atropa (belladone), Datura (stramoine), Hyoscyamus (jusquiames), Brugmansia et Duboisia ; ester de l’acide (±)-tropique et du tropanol (3α-hydroxytropane) ; forme racémique de l’hyoscyamine lévogyre. Substance de référence des parasympatholytiques par antagonisme des différents sous-types…
Atropinique adj. et n. m. Qualifie ou désigne un composé ayant une parenté structurale avec l’atropine ou de structure inspirée de l’atropine et reproduisant tout ou partie des effets de l’atropine (action parasympatholytique). Le syndrome atropinique est constitué par l’ensemble des symptômes dus à une intoxication par des substances…
Atropisme n. m. Intoxication par la belladone ou latropine.
Attapulgite n. f. Aluminosilicate de magnésium naturel, chimiquement inerte.
Attaque n. f. Atteinte subite et aiguë dune maladie, le plus souvent à caractère cyclique. Terme souvent complété par le nom de la maladie qui la provoque, par exemple attaque dhémiplégie, de goutte, de choléra, rhumatismale.
Attelle n. f. Appareil à usage personnel, réalisé dans divers matériaux, destiné à immobiliser un membre ou une partie de membre au cours du traitement de fractures, luxations, maladies inflammatoires.
Atténuation n. f. Régulation de la transcription impliquée dans le contrôle de lexpression de certains gènes, se traduisant par un arrêt précoce de la transcription.
Attribution d’une signature ADN n. f. Ajout d’une signature ADN dans le génome d’un individu.
Attrition n. f. Contusion, écorchure par frottement, voire broiement, d’un tissu (attrition musculaire), d’un viscère (encéphale, foie, rate) ou usure par frottement d’une dent (bruxisme).
Aubépine n. f. Arbuste épineux des régions tempérées, famille des Rosaceae. Deux espèces, Crataegus monogyna Jacq. et C. laevigata (Poiret) DC, ainsi que des hybrides et des espèces européennes voisines fournissent à la thérapeutique feuille, fleur et accessoirement fruit (pseudo-fruit improprement appelé baie). Les constituants principaux sont des…
Aubertin et Rimé (syndrome d’) n. m. Insuffisance cardiaque avec tachyarythmie extrême, affaiblissement du pouls, cyanose et parfois gangrène des extrémités. Observé lors de la thrombose massive (oblitérante) de loreillette gauche chez les sujets atteints de rétrécissement mitral, il est mortel en quelques jours.
Aubier n. m. 1- Écorce privée de sa partie externe ou liège ; 2- bois externe, jeune et fonctionnel, situé juste sous le cambium, qui permet la circulation de la sève brute.
Audiogramme n. m. Graphique sur lequel sont inscrites certaines caractéristiques de l’audition.
Audiologie n. f. Science de l’audition.
Audiomètre n. m. Appareil servant à mesurer certaines caractéristiques de l’audition, en particulier le seuil d’audition.
Audiométrie n. f. Étude métrologique de l’audition.
Audiophonologie n. f. Discipline ayant pour objet l’étude de l’audition, de la phonation, de la parole et du langage de l’Homme. Elle comprend plusieurs branches (médecine, lettres, sciences physiques et naturelles) et divers aspects (anatomie, physiologie, acoustique, phonétique et linguistique de la communication).
Audioprothèse n. f. 1- Appareil conçu pour suppléer un organe déficient de l’oreille ou pour amplifier l’intensité d’un message sonore à son arrivée dans l’oreille et pallier les surdités de perception. 2- Discipline paramédicale dont le but est de suppléer un déficit auditif au moyen d’appareils amplificateurs du…
Audioprothèsiste n. m. Professionnel de santé qui procède à la correction des déficiences de l’ouïe et qui intervient dans la protection individuelle des nuisances d’origine acoustique.
Auditeur n. m. Personne qualifiée et mandatée par une entité, une entreprise ou par un organisme d’accréditation pour effectuer un audit.
Audition n. f. Action d’entendre, d’écouter. Fonction sensorielle exercée par le système auditif.
Audit qualité n. m. Examen méthodique et documenté pratiqué par un agent compétent et impartial en vue de déterminer si les activités ainsi que leurs résultats relatifs à la qualité satisfont aux dispositions préétablies, si ces dispositions sont mises en œuvre de façon efficace et si elles sont aptes…
Auer (corps d’) n. m. Inclusion cytoplasmique résultant de la fusion de granulations azurophiles parfois présentes dans les granulocytes de certaines leucémies aiguës.
Auger (spectroscopie) n. f. Méthode spectroscopique permettant de connaître la distribution énergétique des électrons issus du cœur de l’atome, émis sous l’action de processus physiques divers, par exemple une photoionisation due à des rayons X ou une ionisation sous l’action d’électrons de haute énergie.
Aumolertinib n. m. Petite molécule de synthèse qui est un inhibiteur de tyrosine kinase (ITK) du récepteur du facteur de croissance épidermique (RFCE ; acronyme anglais : EGFR, pour epithelial growth factor receptor), de troisième génération, formant une liaison chimique irréversible, et dotée d’une puissante activité inhibitrice contre les…
→ Auto-immunité
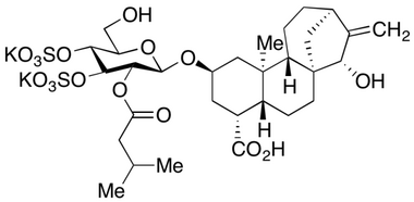
Atractyloside dipotassique

Anglais : atractyloside
Espagnol : atractilosido
Étymologie : Grec ἄτρακτος átraktos fuseau fait à partir de tiges fermes et blanches de chardon et suffixe –oside sucre hydrolysable.
n. m. Substance hétérosidique (C30H44015S2K2), hydrolysable en atractyligénine de structure diterpènique, glucose, acide isovalérianique et sulfate de potassium. Présent chez l'Atractylis gummifera L., l'atractyloside est un agent découplant de l’oxydation phosphorylante; il inhibe ainsi la phosphorylation de l’ADP en ATP et provoque, après simple ingestion, une perturbation profonde de la respiration cellulaire et une chute très marquée de la glycémie, précédant généralement la mort.