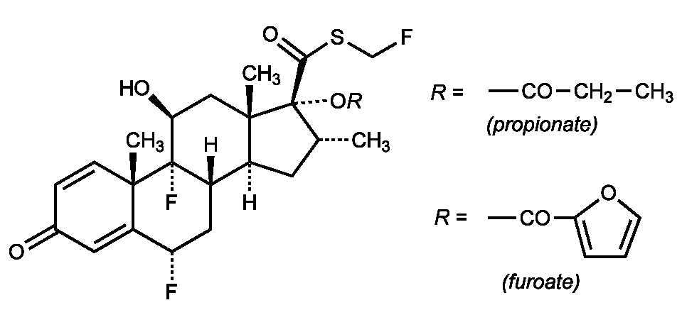
Fichier:Groupe 7-Fluticasone (propionate et furoate de).png
De Le dictionnaire
Erreur lors de la création de la vignette : Impossible d’enregistrer la vignette sur la destination
Autre résolution : 959 × 461 pixels.
Fichier d’origine (959 × 461 pixels, taille du fichier : 8 kio, type MIME : image/png)
Historique du fichier
Cliquer sur une date et heure pour voir le fichier tel qu'il était à ce moment-là.
| Date et heure | Vignette | Dimensions | Utilisateur | Commentaire | |
|---|---|---|---|---|---|
| actuel | 15 février 2024 à 18:09 | Erreur lors de la création de la vignette : Impossible d’enregistrer la vignette sur la destination | 959 × 461 (8 kio) | Maintenance (discussion | contributions) |
Vous ne pouvez pas remplacer ce fichier.
Utilisation du fichier
La page suivante utilise ce fichier :